ANALISI F.E.M. DELLA PLATEA DI FONDAZIONE DEL "CENTRO DIREZIONALE, SALA POLIVALENTE E SERVIZI DI INTERESSE COMUNE" DELLA BANCA DI CREDITO COOPERATIVO DELL'ALTA PADOVANA, CAMPODARSEGO (PD)
ing. Beppino Mazzon - ing. Stefano Secchi
Committente: Banca di Credito Cooperativo dell'Alta Padovana.
Progetto architettonico e D.L.: dr. arch. Sergio Miotto - Padova.
Progetto strutturale: dr. ing. Beppino Mazzon - Padova.
Progetto impianti: Studio Tecnoimpianti - Padova.
Indagini geognostiche: Sacchetto Padana Perforazioni s.r.l. - Adria (RO).
Descrizione generale
Il progetto prevede tre corpi fuori terra ben distinti: un volume centrale a pianta circolare (D = 33 m), da cui si dipartono due ali (lunghezza 55 m e 58 m per una larghezza di 13.05 m) opposte e allineate su un diametro. I corpi laterali, uno adibito a "Centro direzionale" e l'altro a "Servizi di interesse comune", si elevano, pur con arretramenti lungo l'asse maggiore, per quattro piani oltre il piano terra (8646 mc e 9863 mc rispettivamente); il fabbricato centrale (9135 mc fuori terra) prevede: a piano terra le zone da adibire a ingressi, ridotto, guardaroba, bar, servizi, ecc., ; a piano primo la sala polivalente per 880 persone, con possibilità di suddividere con pannelli scorrevoli tale spazio in due zone distinte; un ballatoio a quota superiore è adibito a logge, servizi, cabine tecniche e di proiezione.
Pianta della platea.
Sezione trasversale.
Sezione longitudinale
La parte interrata, che si estende ben oltre alla proiezione dei volumi fuori terra (3770 m², 11500 m3) è destinata ad archivio ed ad autorimessa per un totale di 93 posti auto.
La struttura, concepita in c.a. con orizzontamenti in laterocemento e suddivisa da quota piano terra da tre opportuni giunti di dilatazione, presenta nelle ali una distribuzione di pilastri a maglia rettangolare, mentre nel corpo centrale i piedritti sono disposti su due circonferenze concentriche ( Ri=13.07 m e Re=16.16 m) ed al centro di esse.
La copertura della sala polivalente viene realizzata con una struttura reticolare in acciaio vincolata su sei pilastri in c.a. a sezione circolare, disposti sulla circonferenza di raggio 13.07 m.
La Committente ha previsto di realizzare l'opera in due fasi , dando la precedenza alla costruzione del Centro direzionale e della Sala polivalente, rimandando ad un secondo tempo il completamento del progetto.
Lo studio strutturale è stato eseguito considerando l'opera completa e nella sua prima fase. L'intera struttura è stata suddivisa quindi in una serie di telai piani incastrati alla base; per le travature circonferenziali della sala polivalente si è eseguito invece un modello spaziale. I solai dei vari piani , del tipo a lastra intralicciata con alleggerimenti in laterizio, sono stati studiati come travi su appoggi costituiti dai traversi dei telai. Per l'analisi delle sollecitazioni si è fatto uso di codici di calcolo F.E.M.
I valori massimi delle sollecitazioni (M, N, T) alle estremità di base dei pilastri, sono stati quindi applicati alla soletta di fondazione. Si espongono qui di seguito I valori più significativi della sollecitazione assiale in alcuni piedritti:
- Sala Polivalente: pil. centrale: 350 t; pil. circonferenziali: 190-240 t;
- Centro Direzionale: valori compresi fra 100 t e 196 t;
- zona archivio (solo interrato): valori compresi fra 53 t e 86 t.
La scelta del tipo di fondazione, oltre che da ovvie ragioni progettuali è stata determinata dalla natura del terreno.
Infatti le prove geognostiche (prove penetrometriche spinte sino alla profondità di 25 m, sondaggi meccanici e piezometri a tubo aperto) hanno evidenziato:
- falda superficiale a carattere freatico a 1.40 - 2.0 m , con oscillazioni stagionali di 0.40 - 1.0 m);
- terreni costituiti da una serie di strati incoerenti (sabbie da fini a grosse e limi sabbiosi) che coesivi (argille e limi argillosi) di deposizione recente, con granulometria legata al sovrapporsi di eventi alluvionali e con sedimentazioni legate alle antiche divagazione del fiume Brenta.
Sebbene il sedime di fondazione si trovi su uno strato sabbioso (quota -4.20 - 4.50 m da p.c.), si è dovuto tenere conto, considerata l'estensione del fabbricato, della presenza dei terreni argillosi a profondità di 7-8 metri, inoltre nel calcolo dei cedimenti si è tenuto conto:
- dello "scarico" del terreno dovuto allo scavo sino a quota -4.50 da p.c. ;
- del rigonfiamento del terreno, per effetto dello scavo;
- della componente di cedimento dovuto all'abbassamento di falda;
- della componente di cedimento dovuto al "fluage".
Il calcolo dei cedimenti, eseguito con ipotesi di impronta di carico "flessibile" e "rigida" e carico uniforme nelle varie zone del fabbricato fra 0,1 e 0,4 daN/cm² , indica valori teorici compresi fra 1 -3,5 cm, con valori di cedimenti differenziali pari a 0,59 cm e 2,32 cm ( impronta flessibile).
Considerati i risultati delle prove geognostiche e il fatto che l'interrato da costruirsi nel primo lotto doveva essere utilizzato interamente e completamente comunicante, si è optato per una platea unica (dimensioni 40 x 85 m circa) di spessore 1,00 m per il corpo circolare e 0,70 m per la restante parte; il modello strutturale considerato è di lastra su suolo elastico con costante di Winkler pari a 1,00 daN/cm3 (valore ottenuto sulla base delle specifiche prove e tenendo conto dell'influenza della forma e della dimensione della platea).
Sono stati previsti in corrispondenza dell'attacco con la platea del futuro secondo lotto, opportuni giunti di dilatazione in p.v.c.. Sono stati eliminati i giunti di ripresa, considerando di effettuare alla fine della giornata di lavoro gli ultimi getti di calcestruzzo additivati con ritardante in modo che l'ultima parte di getto possa essere nel giorno successivo rivibrata con il nuovo getto di calcestruzzo.
Considerazioni tecniche riguardanti l'esecuzione della platea hanno imposto per il calcestruzzo la progettazione di un mix-design con additivazione di superfluidificanti e fumi di silice, i cui risultati sono:
- Rck = 30 Mpa
- A/C = 0.45
- Slump = 20-22 cm
- ritiro ipotizzabile = 0.4 mm/m
Giunti orizzontali di costruzione in p.v.c. sono stati considerati invece all'attacco delle pareti perimetrali con la soletta di base; inoltre considerata la lunghezza delle pareti, sono stati previsti, ad interasse di circa 10 metri, giunti verticali in p.v.c., posti al centro della parete e collegati al giunto orizzontale di base, onde poter indirizzare in corrispondenza di tali sezioni l'eventuale fessurazione da ritiro.
Il modello ad elementi finiti
Si è proceduto allo studio della platea di fondazione trascurando l'interazione con la parte restante del fabbricato. Lo schema di calcolo adottato è quello di piastra su letto di molle secondo il modello di Winkler. A tal fine, per la soletta, si sono adottati elementi finiti isoparametrici con funzioni di forma lineari a tre o quattro nodi. In particolare l'elemento a quattro nodi utilizzato include dei modi incompatibili per migliorare la risposta a taglio oltre che a flessione. L'elemento a tre nodi è stato usato solo ove necessario come elemento di passaggio da discretizzazioni rade a discretizzazioni più fitte. Nel modello si passa infatti da elementi con lato ci circa 1.5 m ad elementi con lato minimo di 0.09 m in vicinanza di pilastri e carichi concentrati.
Schematizzazione della platea
Nel modello sono presenti 6713 elementi piastra (9852 nodi complessivi). Ai plate appartenenti alla zona circolare è associata la proprietà con indice 10, caratterizzata da uno spessore di 1m. Per gli elementi restanti la proprietà utilizzata è la n. 1 (spessore 0.7 m).
Il listato che segue riporta le caratteristiche geometriche e meccaniche dei due set di proprietà:
PLATE PROPERTIES TOTAL = 10 TYPE = 1
ISOTROPIC Element : LinearQuad, PlateShell, Von Mises
E = 3.0000E+05
Poisson Ratio = 1.5000E-01
Alpha = 0.0000E+00
Layers No. = 0
Memb.Thick = 7.0000E+01 Bend.Thick = 7.0000E+01
Pressure = 0.0000E+00 Density = 0.0000E+00
Stress:1 = 0.0000E+00 Stress:2 = 0.0000E+00
Stress:3 = 0.0000E+00 Stress:4 = 0.0000E+00
Shear :1 = 0.0000E+00 Shear :2 = 0.0000E+00
Shear :3 = 0.0000E+00 Shear :4 = 0.0000E+00
Temperature Table = 0
Stress-Strain Table = 0
PLATE PROPERTIES TOTAL = 10 TYPE = 10
ISOTROPIC Element : LinearQuad, PlateShell, Von Mises
E = 3.0000E+05
Poisson Ratio = 1.5000E-01
Alpha = 0.0000E+00
Layers No. = 0
Memb.Thick = 1.0000E+02 Bend.Thick = 1.0000E+02
Pressure = 0.0000E+00 Density = 0.0000E+00
Stress:1 = 0.0000E+00 Stress:2 = 0.0000E+00
Stress:3 = 0.0000E+00 Stress:4 = 0.0000E+00
Shear :1 = 0.0000E+00 Shear :2 = 0.0000E+00
Shear :3 = 0.0000E+00 Shear :4 = 0.0000E+00
Temperature Table = 0
Stress-Strain Table = 0
Nella figura che segue è rappresentata la mesh utilizzata:
Fig. 1 Mesh
Schematizzazione del terreno
La presenza di elementi finiti con dimensioni diverse ha escluso a priori l'utilizzo di molle concentrate in corrispondenza ai nodi: questo avrebbe infatti comportato la definizione di un numero di proprietà eccessivo dovendosi definire, molla per molla, la rigidezza in funzione dell'area di pertinenza.
La soluzione parsa più conveniente è stata quella di schematizzare il letto di molle attraverso un materiale ortotropo avente rigidezza solo nella direzione desiderata (verticale).
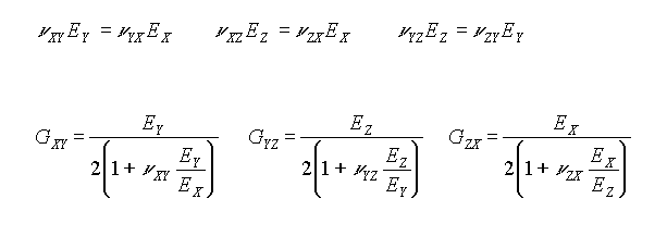
STRAUS, per elementi tridimensionali, permette di definire il legame costitutivo di un materiale ortotropo attraverso la matrice [C]:
dove:
Il modello di Winkler (letto di molle indipendenti) può quindi essere introdotto attraverso elementi tridimensionali ortotropi fittizi. Nella definizione della proprietà i coefficienti della matrice [C] vengono assegnati tutti nulli ad eccezione del termine nella diagonale principale corrispondente alla direzione in cui si vuole introdurre la rigidezza.
Il modello costitutivo utilizzato permette eventualmente l'introduzione di una coesione.
Complessivamente sono stati introdotti 6713 brick ad 8 nodi. La generazione di tali elementi è stata fatta utilizzando un'opzione in STRAUS che permette di estrudere in brick, con un'unica operazione, i plate presenti. Il set di proprietà ad essi associato è riportato nel listato che segue:
BRICK PROPERTIES TOTAL = 1 TYPE = 1
ORTHOTROPIC
C11 = 1.0000E-03 C12 = 0.0000E+00 C13 = 0.0000E+00
C22 = 1.0000E-03 C23 = 0.0000E+00
C33 = 1.0000E+02
C44 = 1.0000E-03 C55 = 1.0000E-03 C66 = 1.0000E-03
ALPHA x = 0.0000E+00 ALPHA y = 0.0000E+00 ALPHA xy = 0.0000E+00
Ply Angle = 0.0000E+00
Density = 0.0000E+00
Pressure:1 = 0.0000E+00 Pressure:2 = 0.0000E+00 Pressure:3 = 0.0000E+00
Pressure:4 = 0.0000E+00 Pressure:5 = 0.0000E+00 Pressure:6 = 0.0000E+00
GAUSS POINTS : xi = 3 eta = 3 zeta = 3
Temperature Table = 0
Stress-Strain Table = 0
Carichi
I carichi sono stati introdotti in parte come forze concentrate sui nodi ed in parte come pressioni agenti sugli elementi plate. La risultante dei carichi verticali introdotti è di circa 1.3E8 N.
Nella figura che segue sono rappresentate le forze nodali:
Fig. 2 Forze nodali
Vincoli
Gli unici gradi di libertà attivi sono l'abbassamento DZ e le due rotazioni RX e RY nel piano della platea (XY).
Soluzione e risultati
Il solutore utilizzato è quello statico lineare. Le equazioni risolte sono state 19278.
Si noti che l'aver introdotto degli elementi brick non ha aumentato le dimensioni del sistema che restano definite esclusivamente dai gradi di libertà attivi della soletta.
Le figure che seguono rappresentano i contour di alcune grandezze significative:
Fig. 3: Deformata e contour dello spostamento verticale.
Fig. 4: Pressioni sul terreno.
Fig. 5: Momenti per unità di lunghezza in direzione X.
Fig. 6: Momenti per unità di lunghezza in direzione Y.